2023-04-11 00:06:00来源:互联网
新用户下载,赢取高达 60,000 元盲盒
当前的 DEX 是完全透明的,任何人都可以看到用户的余额和交易历史,为满足币圈投资者对交易匿名性、隐私的需求,Renegade 正在开发基于多方计算 (MPC) 和零知识证明的一种新型去中心化交易所(DEX)-链上版本的暗池,从而为用户提供全面的交易隐私,也即去中心化的暗池交易,旨在通过防止抢先交易、三明治和统计套利等行为来改善 DeFi 中的价格执行。

暗池交易在传统金融也早已有之,在传统的交易所,大单子的信息会被高频交易公司(高频交易(High frequency trading ,HFT)是一种透过程序化算法执行交易的策略,简单来说就是提供市场极高的流动性,并从提供流动性中收取过路费)察觉或检测到,然后高频交易公司会依靠特别的订单类型或者优于大机构/银行的硬件/软件抢先买卖仓位,最后再抛给大型机构交易者以获得盈利,而大型机构交易者则面临亏损。为保护大型机构交易者不被高频交易公司(HFT)“撸羊毛”,暗池不断的发展起来,暗池交易已占美国股市总交易量近三分之一。
在暗池交易中,买卖双方匿名配对进行大宗交易,这种交易运作不透明,不会展示买卖盘价及报价人士的身份,使交易策略與仓位不被公開,也不会向公众披露已执行交易的详情,这对机构投资者非常有利。
暗池交易的优势1、大型投资机构透过暗池交易,可以减少受到市场情绪的影响,并且对投资的一般大众隐藏其意图。
2、交易的价格更优化,买卖双方能得到比在公开市场(买家买得更低、卖家卖得更高)更满意的交易价格。
3、不会出现滑点,大多的暗池交易都是在预设价格下完成大宗交易,交易者就可以在预期的价格完成整笔交易。
由于暗池的上述优势,以及随着加密市场的不断发展,机构投资者和高净加密资产持有者在市场中所占的比例越来越高,投资者对交易匿名性和流动性的需求越来越高。为满足上述需求,去中心化暗池交易作为一种新的加密资产大宗交易协议,未来必将迎来蓬勃发展。实际上,现在有多家中心化交易所向客户提供收费的暗池交易工具,暗池交易,则是聚合交易以及AMM之外的新道路:既为大型机构投资者交易提供了合适的场所,也有助于提高交易所的流动性。
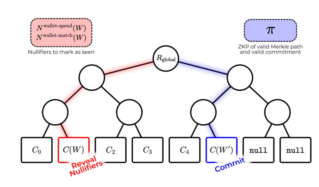
Renegade 与所有其他交易所(中心化和去中心化)的核心区别在于状态保存在本地。不是由中央服务器(例如 Binance)或数千个分布式服务器(例如 Uniswap)维护余额和订单,所有 Renegade 状态都由个人交易者维护。
当交易者想要在他们的钱包上执行操作(存入代币、结算比赛等)时,他们必须知道他们的旧钱包和新钱包,并向智能合约发送三条信息:
1、对新钱包的承诺。
2、他们的旧钱包的两个“无效器”,用于防止旧钱包的双花。
3、零知识证明:承诺被正确计算,无效符被正确计算,旧承诺存在于全局 Merkle 树中的某处,并且从旧钱包到新钱包的更改是有效的(例如,用户没有任意增加他们的余额)。
智能合约维护着一个包含所有先前承诺的全局 Merkle 树,以及一组用于显示先前钱包的无效符。

Commit-Reveal 机制
通过使用commit-reveal机制,协议允许完全的钱包隐私(即,没有关于钱包的信息在链上泄露),同时保持完全的状态一致性和防止双花攻击。
从根本上说,Renegade 只是由许多独立中继器组成的 p2p 沟通网络组成,这些中继器在新订单进入系统时不断地交流并相互执行 MPC。中继者从不保管资产,只是被授予查看钱包的权限以计算成对的 MPC。

因此,通过协作 SNARKs 实现这个 MPC-ZKP 框架,协议创建了一个既完全原子化(即任何一方都不能在 MPC 执行后退出)又完全私有的 DEX,包括交易前和交易后.
更多详细信息,请参阅Renegade完整的白皮书:
https://docs.renegade.fi/getting-started/whitepaper/
Renegade的暗池交易服务除了避免中心化交易所和场外交易柜台存在的交易对手风险外,还解决了当前 DEX现货市场的许多问题,最终为用户提供更好的价格和最佳执行:
1、交易前隐私。在用户的交易被撮合之前,没有人可以看到用户订单的任何细节。对市场有较大的冲击的大宗交易,Renegade可以隐藏用户的下单细节(价格、数量、方向等),用户也是匿名的。
2、交易后隐私。订单成交后,只有交易对手方知道交换了哪些资产。这可以防止第三方跟踪和复制用户的交易策略。
3、最小 MEV。由于验证者只能看到有效交易的零知识证明,因此区块生产者无法预先运行、重新运行或将你的交易夹在中间。
默认情况下,Renegade 以基于匿名订单簿理论计算的最优的中间价格进行交易,没有做市商进行价差交易。但是,Renegade 也可以选择性地执行撮合订单,以实现完整的价格发现和更好的流动性供应。
鉴于当前 DeFi 系统存在广泛的信息泄漏问题,许多不同类型的交易者可以看到 Renegade 的价格改善:
1、做市商。如果一个做市商做多某项资产,而另一个做市商做空同一资产,则交易台可以匿名将这两个头寸相互抵消,从而平衡头寸,而无需承受公开交易的价差。
2、OTC吃单者。吃单者可以直接在暗池中以中间价格下订单,而不用承担OTC的价差费用。
3、AMM吃单者。通过链上 DEX一次转账5000 美元以上的交易者通常会产生重大的价格影响,被 MEV 盯盘者夹在中间,从而由于被套利带来亏损。使用 Renegade,交易始终保证以中间价格执行。
4、具有隐私意识的加密原住民。 Renegade 保持完全匿名,这意味着没有第三方可以看到有关交易或支付历史的任何详细信息。
Renegade项目目前没有代币信息,Renegade 目前处于内部测试网中,公共测试网计划于 2023 年第二季度发布。
Christopher Bender:.创始人。

在美国伯克利学习纯数学和计算机科学。我参与了伯克利的机器学习、Accel Scholars 和伯克利人工智能研究。曾在 Nuro 和 Tesla Autopilot 工作过。曾试图通过在城市资产上做市来调整政治激励:CityStocks。曾将 Tornado Cash 的一个端口链接到 Solana,是 Solana 网络上的第一个零知识应用程序:Otter Cash。Email:
Joseph Kraut:.创始人。

在美国伯克利学习计算机科学,Email:
Github上多个项目的开发经验:
2023年2月20日公开信息显示,Renegade宣布完成340万美元种子轮融资, Dragonfly Capital 和前 AngelList 首席执行官 Naval Ravikant 领投,Balaji Srinivasan 和 Lily Liu、来自 Robot Ventures 的 Tarun Chitra、来自 Tagomi 的 Marc Bhargava 和来自 Symbolic Capital Partners 的 Lev Livnev 等参投。
官方网站:
Twitter:
substack:
Github:
白皮书:
Discord:
Email:
PARTY AWARD 2023 年度评选提名火热征集中!冬去春来,今年我们以“Keep Building”为主题,旨在发现并激励Web3领域中持续建设的真正Builder。将通过数据初选、公开征集、线上投票及专业评审团评议,最终评选出12项权威年度奖项。
点击下方图片立即报名!
芝麻开门IOS下载:立即前往
注册领取新手礼包!交易手续费返现:20%!
免责声明:文章图片应用自网络,如有侵权请联系删除